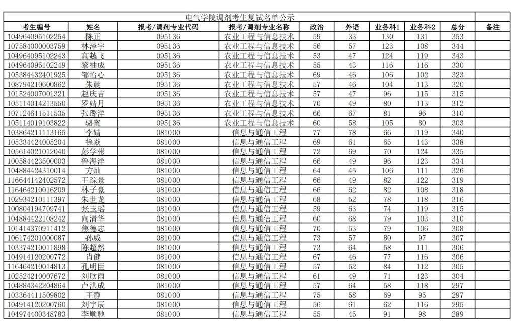
2024年​beats365官方网站调剂考生复试名单

来源:beats365官方网站 时间:2024-04-08 点击数:


版权所有 © beats365(中国区)唯一官方网站

地址:湖北省武汉市东西湖区环湖中路36号     邮编:430023    电话:027-85504717